Ürünün kalitesi ve performansında yüksek mükemmellik seviyesi, titiz kalite yönetim sistemimiz tarafından korunmaktadır.
Ürün Açıklaması
ZDR 6 D tipi basınç düşürücü vanalar, ikincil tarafta basınç tahliye fonksiyonuna sahip, sandviç plakalı tasarıma sahip, 3 yollu, doğrudan kumandalı basınç düşürücü vanalardır. Sistem basıncını düşürmek için kullanılır.
Basınç düşürücü vana temel olarak gövde (1), kontrol makarası (2), bir sıkıştırma yayı (3) ve ayar elemanından (4) oluşur ve ayrıca isteğe bağlı bir çek valf bulunur.
İkincil basınç, basınç ayar elemanı (4) tarafından ayarlanır.
Model ”ZDR6DA”
Durgun haldeyken, vana normalde açıktır ve akışkan A portundan A1 portuna engelsiz bir şekilde akabilir. A1 kısmındaki basınç, sıkıştırma yayının (3) karşısındaki makara alanında bulunan kontrol hattı üzerinden aynı orandadır.
A1 portundaki basınç, sıkıştırma yayında (3) ayarlanan basınç seviyesini aştığında, kontrol makarası (2), sıkıştırma yayına (3) karşı kontrol konumuna hareket eder ve A1 portundaki ayarlanan basıncı sabit tutar.
Kontrol basıncı ve pilot yağı A1 portundan kontrol hattı vasıtasıyla alınır.
A1 portundaki basınç B dış kuvvetler nedeniyle daha da artarsa, kontrol makarası (2) sıkıştırma yayına (3) doğru daha da hareket ettirilir.
Bu, kontrol makarası (2) üzerindeki kontrol alanı ⑼ üzerinden A1 portundan tanka bir akış yolu açılmasına neden olur. Daha sonra, basınçta daha fazla artış olmasını önlemek için yeterli miktarda sıvı tanka akar. Yay bölmesi (7), her zaman harici olarak (6) sondaj yoluyla T (Y) portuna boşaltılır.
Bir basınç göstergesi bağlantısı (8), izlenecek valfteki ikincil basıncı ölçer.
"DA" versiyonunda sadece A1 - A portlarına serbest akış için çek valf takılması mümkündür.
"DP" ve "DB" modelleri
"DP" modelinde basınç, P1 portundan düşürülür. Kontrol basıncı ve pilot yağı, dahili olarak PI portundan alınır.
DB modelinde P1 portundaki basınç düşürülür ve pilot yağı B portundan alınır.
Dikkat?
DB modelinde, yön valfi Pto A konumundayken B portundaki basıncın ayar basıncından yüksek olmaması sağlanmalıdır. Aksi takdirde A portundaki basınç düşecektir.
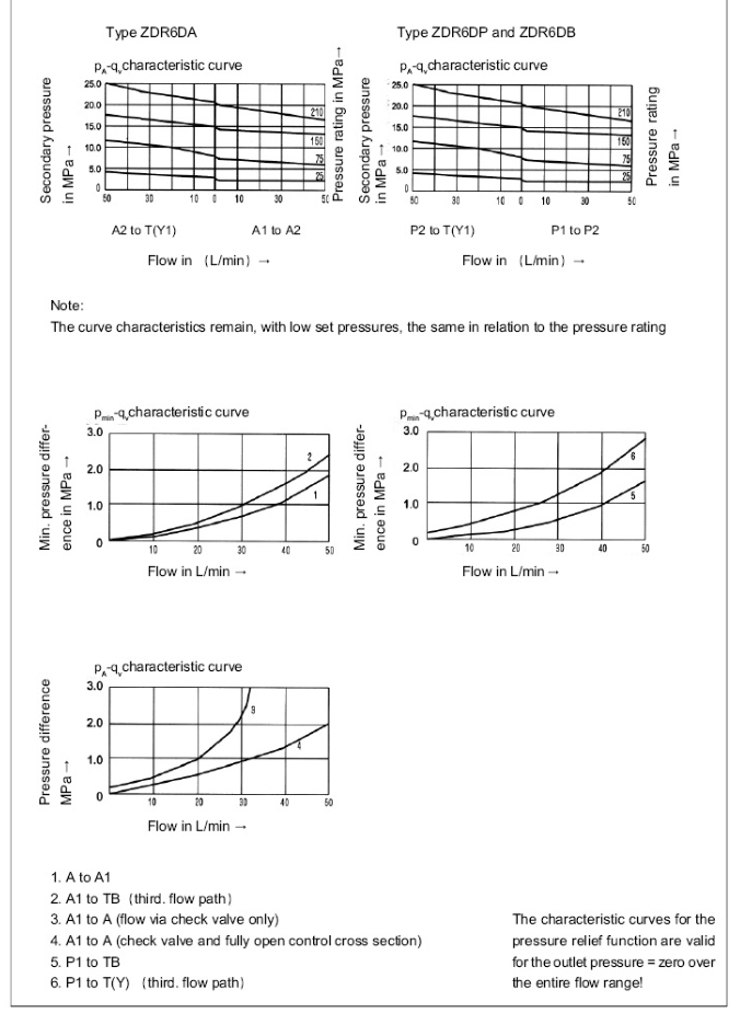
Karakteristik eğriler (V=41mm2/s ve t=50℃'de ölçülmüştür)
Birim boyutları (Boyutlar mm cinsindendir)
Üretimde uyguladığımız titiz kontrol süreciyle kalitemiz garanti altına alınmıştır.




















