Un niveau élevé d’excellence dans la qualité et la performance du produit a été maintenu par notre système rigoureux de gestion de la qualité.
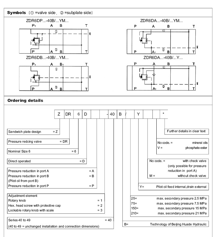
Description du produit
Les réducteurs de pression de type ZDR 6 D… sont des réducteurs de pression 3 voies à commande directe, de conception à plaque sandwich, avec fonction de décharge de pression côté secondaire. Ils servent à réduire la pression du système.
Le réducteur de pression se compose essentiellement du boîtier (1), du tiroir de commande (2), d'un ressort de compression (3) et de l'élément de réglage (4) ainsi que d'un clapet anti-retour en option.
La pression secondaire est réglée par l'élément de réglage de pression (4).
Modèle « ZDR6DA »
Au repos, la vanne est normalement ouverte et le fluide peut circuler librement de l'orifice A vers l'orifice A1. La pression dans la partie A1 est simultanément transmise par la conduite de commande présente au niveau du tiroir, à l'opposé du ressort de compression (3).
Lorsque la pression dans l'orifice A1 dépasse le niveau de pression réglé au niveau du ressort de compression (3), le tiroir de commande (2) se déplace dans la position de commande contre le ressort de compression (3) et maintient la pression réglée dans l'orifice A1 constante.
La pression de commande et l'huile pilote sont prélevées à partir du port A1 via la conduite de commande.
Si la pression B dans l'orifice A1 augmente encore davantage en raison de forces externes, le tiroir de commande (2) est déplacé encore plus loin vers le ressort de compression (3).
Cela ouvre un passage d'écoulement au niveau de l'orifice A1, via la zone de commande ⑼ du tiroir de commande (2), vers le réservoir. Une quantité suffisante de fluide s'écoule alors vers le réservoir pour empêcher toute augmentation de pression supplémentaire. La chambre à ressort (7) est toujours vidangée vers l'extérieur du réservoir via le perçage (6) vers l'orifice T (Y).
Un raccord de manomètre (8) permet de surveiller la pression secondaire au niveau de la vanne.
Il n'est possible de monter un clapet anti-retour pour passage libre que dans les orifices A1 à A dans la version « DA ».
Modèles « DP » et « DB »
Dans le modèle « DP », la pression est réduite dans l'orifice P1. La pression de commande et l'huile de pilotage sont prélevées en interne dans l'orifice PI.
Dans le modèle DB, la pression dans le port P1 est réduite et l'huile pilote est prélevée dans le port B.
Attention?
Dans le modèle DB, il faut s'assurer que la pression dans le port B n'est pas supérieure à la pression réglée lorsque le distributeur est en position Pto A. Sinon, la pression dans le port A sera réduite.
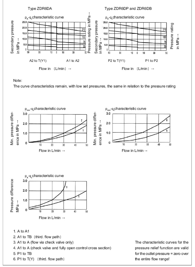
Courbes caractéristiques (mesurées à V=41mm2/s et t=50℃)
Dimensions de l'unité (Dimensions en mm)
Sa qualité est garantie par la mise en œuvre de notre processus rigoureux de contrôle de production.




















