Kalite güvencesi: Ürün, üretim sırasında sıkı bir kalite kontrol prosedürüne tabi tutulur ve teslimattan önce titizlikle incelenir. Tüm bu önlemler kalite güvencesine katkıda bulunur.
Ürün Açıklaması
DBD basınç tahliye vanaları doğrudan kumandalı poppet vanalardır.
Hidrolik sistemlerde basıncı sınırlamak için kullanılırlar.
Vanalar temel olarak manşon (1), yay (2), sönümleme makaralı poppet (4) (basınç kademeleri 2,5 ila 40 MPa) veya bilya (4) (basınç kademesi 63 MPa) ve ayar elemanından (3) oluşur. Sistem basıncı, ayar elemanı (3) aracılığıyla sonsuz şekilde ayarlanabilir. Yay (2), poppeti (4) yuvaya iter. P kanalı sisteme bağlıdır.
Sistemdeki basınç, P kanalındaki basınç yay (2) üzerindeki valf setinin üzerine çıkana kadar poppete uygulanır ve poppet (4) yay (2) tarafından açılır. Basınçlı akışkan P kanalından T kanalına akar. Poppetin (4) stroku bir pim ile sınırlandırılır. Tüm basınç aralığında iyi bir basınç ayarı sağlamak için basınç aralığı 7 basınç kademesine ayrılmıştır. Her bir basınç kademesi, ayarlanabilen maksimum çalışma basıncı için belirli bir yaya karşılık gelir.
Semboller
Sipariş detayları
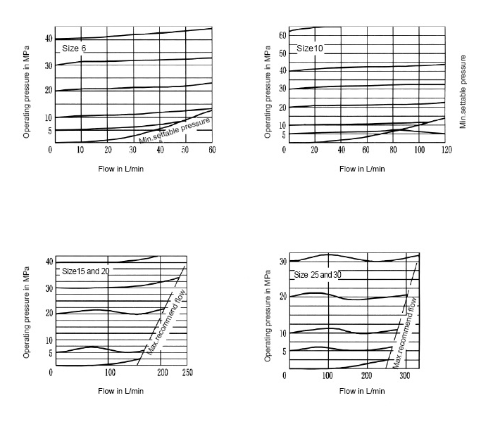
karakteristik eğriler (v=41m2m, t=50nC'de ölçülmüştür)
Ünite boyutları: kartuş valfi (boyutlar mm cinsinden)
Fark etme
1. Sıvı filtrelenmelidir. Minimum filtre inceliği 20 μm'dir.
2.Tankın sızdırmazlığı sağlanmalı ve hava girişine hava filtresi takılmalıdır.
3.Fabrikadan çıkarken alt plakası olmayan ürünler, ihtiyaç halinde lütfen özel olarak sipariş verin.
4. Vana sabitleme vidaları yüksek yoğunluklu (sınıf 10.9) olmalıdır. Lütfen bunları örnek kitapta listelenen parametrelere göre seçip kullanın.
5. Vana ile bağlantılı yüzey pürüzlülüğü 0,8 olmalıdır.
6. Birleştirme parçasının yüzey kalitesi 0,01/100mm olmalıdır.
Ürün kalitesinin güvence altına alınması için ISO 9000 ileri yönetim metodu uygulamaya konulmuştur.





















