Asigurarea calității: produsul este supus unei proceduri stricte de control al calității în timpul producției și unei inspecții atente înainte de livrare. Toate aceste măsuri contribuie la asigurarea calității.
Descriere produs
Supapele de suprapresiune DBD sunt supape cu clapetă acționate direct.
Acestea sunt utilizate pentru a limita presiunea într-un sistem hidraulic.
Supapele sunt alcătuite în principal din manșon (1), arc (2), clapă cu bobină de amortizare (4) (treapte de presiune 2,5 până la 40 MPa) sau bilă (4) (treaptă de presiune 63 MPa) și element de reglare (3). Reglarea presiunii sistemului este variabilă infinit prin intermediul elementului de reglare (3). Arcul (2) împinge clapa (4) pe scaun. Canalul P este conectat la sistem.
Presiunea prezentă în sistem este aplicată clapetei de acționare. Dacă presiunea din canalul P crește peste valoarea supapei fixate la arcul (2), clapeta de acționare (4) se deschide împotriva arcului (2). Acum, fluidul sub presiune curge din canalul P în canalul T. Cursa clapetei de acționare (4) este limitată de un știft. Pentru a menține setări bune ale presiunii pe întregul interval de presiune, intervalul de presiune este împărțit în 7 trepte de presiune. O treaptă de presiune corespunde unui anumit arc pentru o presiune maximă de funcționare care poate fi setată cu acesta.
Simboluri
Detalii comandă
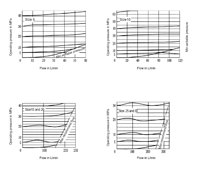
curbe caracteristice (măsurate la v=41m²m, t=50nC)
Dimensiuni unitate: supapă cartuș (dimensiuni în mm)
Observa
1. Fluidul trebuie filtrat. Finețea minimă a filtrului este de 20 μm.
2. Rezervorul trebuie să fie etanș și trebuie instalat un filtru de aer la intrarea de aer.
3. Produsele fără subplacă la ieșirea din fabrică, dacă este nevoie de ele, vă rugăm să le comandați special.
4. Șuruburile de fixare a supapei trebuie să fie de nivel înalt de intensitate (clasa 10.9). Vă rugăm să le selectați și să le utilizați conform parametrilor enumerați în cartea de mostre.
5. Rugozitatea suprafeței legate de valvă este necesară, cu o rugozitate de 0,8.
6. Finisajul suprafeței piesei de îmbinare este necesar cu 0,01/100 mm.
Pentru a asigura calitatea produselor, a fost introdusă metoda avansată de management ISO 9000.





















